Inhaltsverzeichnis
23.3.9 Grundlagen Bézier-Kurven
Die CurveTo-Methode der Klasse Paint verwendet zum Zeichnen → Kapitel 23.3.5.3 'Bézier-Kurven' Bézier-Kurven dritten Grades, die durch 4 Punkte bestimmt werden. Zwei Punkte (A und D) bestimmen den Anfangs- und Endpunkt der Kurve, deren Krümmungsverhalten Sie über die Lage aller 4 Punkte A, B, C und D → Abbildung 23.3.8.1 festlegen. Die Punkte B und C werden Stützpunkte genannt.
Abbildung 23.3.9.1: Bézier-Kurve 3. Grades (4 Punkte)
In diesem Kapitel wird der Versuch unternommen, aus der geometrischen Definition einer Bézier-Kurve 2. Grades – für die es ja in der Klasse Paint keine Methode gibt – eine analytische Beschreibung einer Bézier-Kurve 2. Ordnung zu entwickeln. Damit wird die Erwartung verknüpft, dass Sie die Arbeit mit Bézier-Kurven 3. Grades besser verstehen, weil die Theorie von ähnlichen Ansätzen ausgeht.
Mit den gewonnenen expliziten Parameter-Gleichungen sowie den Methoden der Klasse Paint werden einige Bézier-Kurven 2. Grades gezeichnet.
23.3.9.1 Geometrische Definition einer Bézier-Kurve 2. Grades
Gegeben sind drei (verschiedene) Punkte A, B und C in einer (Koordinaten-)Ebene mit einer (normierten) Vektorbasis. Die Punkte A, B und C werden in der gezeigten Art verbunden. Auf den Verbindungslinien AB und BC existieren die beiden Teilungspunkte T1 und T2, auf deren Verbindungslinie T1T2 der Punkt T liegt:
Abbildung 23.3.9.1.1: Bézier-Kurve – Definition 2. Grades (3 Punkte)
Für die drei Teilungspunkte T1, T2 und T gilt folgende Festlegung, die jeweils ihre Lage auf den Verbindungslinien bestimmt:
Für jeden reellen Parameterwert p aus dem Intervall [0|1] ist T ein so genannter Bézier-Punkt. Die Menge aller Punkte T=T(p) ergibt die Bézier-Kurve AC von A nach C mit T(0) = A und T(1) = C. Die punktierte grüne Linie besteht aus ausgewählten Punkten der Bézier-Kurve AC. Zeichnet man für ausgewählte Parameter p die Verbindungslinien der Punkte TiTj , dann entsteht dieses Bild:
Abbildung 23.3.9.1.2: Darstellung von Verbindungslinien TiTj
Sie können schon sehr deutlich die Hüllkurve aller Verbindungslinien der Punkte TiTj 'sehen'. Der Eindruck wird noch verstärkt, wenn die definierten Bézier-Punkte T auf den Verbindungslinien zusätzlich in rot eingezeichnet werden:
Abbildung 23.3.9.1.3: Bézier-Punkte
23.3.9.2 Analytische Beschreibung einer Bézier-Kurve 2. Grades
Gesucht ist eine analytische Beschreibung für die Koordinaten der Bézier-Punkte T = T(p) für jeden Parameterwert p aus dem Intervall 0 ≤ p ≤ 1 auf der Bézier-Kurve von A nach C:
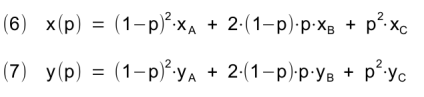
Aus den beiden Vektor-Gleichungen 1 und 2 gewinnt man die Gleichung 4 beziehungsweise 5, wenn man die Gleichungen 1 und 2 in 3 einsetzt:
Aus der Gleichung 5 entstehen die beiden (expliziten) Parameter-Gleichungen 6 und 7 für die Berechnung der x- und y-Koordinate eines Bézier-Punktes der quadratischen Bézier-Kurve (2. Grades) zwischen den Punkten A und C, deren Krümmungsverhalten durch die Lage des Punktes B definiert wird:
23.3.9.3 Beispiele für Bézier-Kurven 2. Grades
Beispiel 1
Die Bézier-Kurve AB mit dem Stützpunkt B wird unter Verwendung der Gleichungen 6 und 7 und Methoden der Klasse Paint gezeichnet:
Abbildung 23.3.9.3.1: Bézier-Kurve AC – B(150|30)
Im folgenden Quelltext werden die Punkte A, B und C über globale Variablen vom Daten-Typ PointF deklariert und die beiden Gleichungen 6 und 7 als Funktionen implementiert:
[1] Public A As PointF [2] Public B As PointF [3] Public C As PointF [4] [5] Public Sub Form_Open() [6] … [7] A = New PointF [8] A.x = 30 [9] A.y = 240 [10] B = New PointF(150, 30) ' Alternative Angabe der Koordinaten eines Punktes [11] C = New PointF(500, 270) [12] … [13] End ' Form_Open() [14] [15] Public Function BézierX(p As Float, AX As Float, BX As Float, CX As Float) As Float [16] ' Analytische Beschreibung x(p) einer Bézier-Kurve 2. Grades (3 Punkte) [17] Return (1 - p) * (1 - p) * AX + 2 * (1 - p) * p * BX + p * p * CX [18] End ' BézierX(..) [19] [20] Public Function BézierY(p As Float, AY As Float, BY As Float, CY As Float) As Float [21] ' Analytische Beschreibung y(p) einer Bézier-Kurve 2. Grades (3 Punkte) [22] Return (1 - p) * (1 - p) * AY + 2 * (1 - p) * p * BY + p * p * CY [23] End ' BézierY(..)
Die Prozedur PaintScriptBézier3Points() zum Zeichnen einer Bézier-Kurve 2. Grades nutzt die Prozeduren, die schon in den Projekt-Beispielen im → Kapitel 23.3.3 verwendet wurden:
[1] Public Sub PaintScriptBezier3Points() [2] Dim k As Integer [3] Dim p As Float [4] Dim vP As Vector [5] [6] GenerateNewPicture() [7] SetPictureBorder() [8] Paint.Begin(hPicture) [9] Paint.Translate(xTranslate, yTranslate) [10] Paint.Scale(xScale, yScale) ' +y ▲ [11] DrawCoordinateSystem() [12] [13] ' PARABEL-STÜCK [14] Paint.Brush = Paint.Color(Color.Red) [15] Paint.Brush = Paint.Color(Color.Red) [16] For k = 0 To (C.x - A.x) [17] p = k / 470 [18] Paint.Arc(BézierX(p, A.x, B.x, C.x), BézierY(p, A.y, B.y, C.y), 2) [19] Next [20] Paint.Fill() [21] [22] ' Verbindungslinien A-B-C [23] Paint.Brush = Paint.Color(Color.Blue) [24] Paint.LineWidth = 1 [25] Paint.Dash = [1, 1] [26] Paint.MoveTo(A.x, A.y) [27] Paint.LineTo(B.x, B.y) [28] Paint.LineTo(C.x, C.y) [29] Paint.Stroke [30] Paint.Dash = Null [31] [32] ' Punkte A, B und C [33] Paint.Arc(A.x, A.y, 3) [34] Paint.Arc(B.x, B.y, 3) [35] Paint.Arc(C.x, C.y, 3) [36] Paint.Fill [37] [38] ' TEXT [39] Paint.NewPath [40] Paint.Scale(1, -1) ' +y ▼ [41] Paint.Font = Font["Monospace, 11"] [42] Paint.Brush = Paint.Color(Color.DarkBlue) [43] Paint.DrawText("A", 25, -255) [44] Paint.DrawText("B", 145, -10) [45] Paint.DrawText("C", 495, -285) [46] Paint.Scale(1, -1) ' +y ▲ [47] Paint.End [48] [49] End ' PaintScriptBezier3Points()
Kommentar:
- Die Bézier-Kurve wird in den Zeilen 15 bis 20 als Punktfolge gezeichnet.
- Mit den beiden Funktionen BézierX(..) und BézierY(..) werden die Koordinaten Tx und Ty jedes Bézier-Punktes T = T(p) im Intervall 0 ≤ p ≤ 1 berechnet (T(0) = A und T(1) = C).
- Das Parameter-Intervall von 0 ≤ p ≤ 1 wird in den Zeilen 16 und 17 für das Zeichnen der Bézier-Punkte auf das Intervall 0 ≤ x ≤ (C.x-A.x) abgebildet.
- In der Zeile 18 wird ein Bézier-Punkt T(p) mit den Koordinaten Tx und Ty als Kreis mit sehr kleinem Radius gezeichnet.
- In den weiteren Anweisungen ab Zeile 22 werden die Verbindungslinien AB und BC sowie die Punkte A, B und C gezeichnet. Abschließend werden die drei Punkte noch bezeichnet – jedoch ohne die Angabe von Koordinaten.
Beispiel 2
Abbildung 23.3.9.3.2: Bézier-Kurve – B(400|60)
Im zweiten Beispiel werden die Koordinaten des Stützpunktes B geändert. Die Koordinaten des Anfangspunktes A und des Endpunktes C bleiben gegenüber dem Beispiel 1 unverändert. Sehr deutlich ist der Einfluss des Punktes B auf den Kurvenverlauf der Bézier-Kurve zu sehen. Im Projekt 'BézierExkurs' können Sie die Koordinaten von B in weiten Grenzen ändern, um die Wirkung der Veränderung sofort zu sehen.










